Що потрібно зробити, щоб повернути МКС на Землю цілою та неушкодженою?

NASA планує звести Міжнародну космічну станцію з орбіти у 2031 році, дозволивши їй впасти в океан. Проте невже не існує іншого способу, окрім затоплення?

3030

Кожен із нас хоча б раз у житті чув про Міжнародну космічну станцію (МКС). Інженерне диво минулого століття ширяє на низькій навколоземній орбіті на висоті близько 400 кілометрів над поверхнею Землі вже понад 20 років, рухаючись зі швидкістю 7,66 км/c. (До слова, із величезною швидкістю).

За таких умов лабораторія завершує один повний оберт за 90 хвилин. Роблячи 16 витків на добу протягом двох десятиліть, станція уже здійснила близько 100 000 польотів навколо планети. Якщо у правильному місці уважно стежити за зоряним небом, можна побачити неозброєним оком або за допомогою смартфона рух цього «непізнаного літального об’єкта».

Проте ніщо в цьому світі не вічне – навіть космічні станції. NASA повідомляє, що МКС буде зведено з орбіти у 2031 році, що означає її навмисне знищать в океані.

Здавалося б, нерозсудливо позбутися напрочуд дивовижної конструкції у такий спосіб. Хіба не чудова ідея перетворити її у музей на Землі, щоб звичайні люди могли б прогулюватися стінами того, що провело так багато часу за межами планети? Тоді кожен зміг би відчути себе астронавтом!

Проте не все так легко, як видається на перший погляд. Спробуємо розібратися, що потрібно для порятунку одного з найамбітніших проектів в історії людства.

 Хіба не можна просто залишити МКС на орбіті?

Може здатися, що найкращою «домівкою» Міжнародної космічної станції є космос. Однак виникає проблема: вона не зможе залишатися там довго без періодичного коригування її положення та зрештою впаде назад на Землю. Навмисне зведення з орбіти – один із варіантів переконатися, що МКС звалиться в неосяжний океан, а не вам на голову.

Міжнародна космічна станція на ННО. Фото: NASA

Саме тому низька навколоземна орбіта (ННО) – лише її тимчасове місце перебування. На ідеальній траєкторії, такій як у Місяця навколо нашої планети, об’єкт здійснює рух тільки завдяки гравітаційній взаємодії із Землею. У такий спосіб, на нього діє сила, із якою він притягується до центру, переміщаючись у перпендикулярному їй напрямку. Якщо тіло підтримує задану швидкість, воно рухатиметься по колу. Це схоже на обертання м’ячика, прикріпленого до кінця мотузки, навколо голови. Однак у цьому випадку мотузка замінює вектор сили тяжіння.

Проте для таких об’єктів, як супутник чи космічна станція, що знаходяться на ННО, існує інша закономірність – взаємодія з атмосферою. Напевно, ви чули, що у космічному просторі немає повітря. Це дійсно так: космос – це майже ідеальний вакуум. У міру віддалення від поверхні Землі газова оболонка стає тоншою, отже, її щільність зменшується. А втім, вона не просто, «ніби за помахом чарівної палички», сягає нуля на певній висоті; натомість із підняттям угору поступово розріджується (стає менш густою), доки умовна межа, що відділяє нас від космосу, не зникає.

Це означає, що на висоті 400 км (на ННО, де обертається МКС) повітря зовсім небагато, але воно є. Космічна станція, яка рухається дуже стрімко, стикається з цією невеликою кількістю, у результаті чого виникає незначна сила опору. Саме вона діє в напрямку, протилежному швидкості апарату, у такий спосіб уповільнюючи його та просуваючи на нижчі висоти, де з’являється все більше повітря та аеродинамічного опору.

Справи стають досить складними, коли в хід вступає орбітальна механіка. Коротко кажучи, притягання, спрямоване до центру планети, призведе до того, що об’єкт частково згорить в атмосфері та вріжеться в Землю. Саме це сталося з китайською космічною станцією Тяньгун-1 (Tiangong-1).

Отже, для утримання МКС на орбіті до 2031 року, космічні агентства, які її обслуговують, повинні періодично щось робити, щоб протидіяти цій силі опору. Станція не має власних ракетних двигунів, тому для підтримання та коригування швидкості їй потрібен розгін або поштовх, здійснений транспортним кораблем, що поповнює її запаси. Тільки так вона залишатиметься на орбіті.

 Чи згорить МКС під час входження в атмосферу?

Хоча повернення на Землю може бути «неприємною подією» і має повністю знищити апарат, цілком можливо, що тіло розміром із МКС принаймні частково вціліє. Для прикладу, космічна станція Skylab, пройшовши крізь атмосферу в 1979 році, вдарилась об поверхню планети незгорілими уламками. І цьому є своє пояснення.

Усе, що падає з космосу, стає надзвичайно гарячим. Орбітальні об’єкти, дуже швидко рухаючись, штовхають перед собою повітря, що заважає їм на шляху. Невелика частина повітря розсіюється убік, але значна – залишається попереду. Тут знову виникає проблема, тому що збільшення його кількості в тому ж просторі, де вже є певна частка, спричиняє компресію. У такий спосіб, при стрімкому русі об’єкта крізь атмосферу стиснене повітря перед ним стає гарячим, що призводить до підвищення тиску та зростання температури.

Наочним прикладом може слугувати накачування шини велосипедного колеса. За інтенсивного виконання цього процесу вона нагрівається, тому що, наповнюючи ємність новим повітрям, ми стискаємо його з тим, що вже є всередині. Мовляв, «підігріваємо гаряче».

Деякі космічні кораблі, як-от Space Shuttle або Crew Dragon компанії SpaceX, мають теплові щити, що складаються з матеріалів, які ізолюють більшу частину апарату та захищають його під час температурних перепадів. Проте МКС не має такої системи термального захисту. Тому можна припустити, що деякі її частини все-таки згорять при входженні в атмосферу.

До речі, уламки, що залишаться, зможуть стати частиною музейної експозиції, але, на жаль, не тієї, якою ви походжали б.

Входження SpaceX Crew Dragon в атмосферу. Фото: SpaceX/YouTube

 Чи існує спосіб повернути МКС без згоряння при вході в атмосферу?

Почнемо з того, що існує різниця між входженням в атмосферу та просто падінням із космосу. Якщо об’єкт підняти на висоту 400 кілометрів та відпустити, результат суттєво відрізнятиметься від того, який отримаємо під час його контрольованого повернення на Землю.

Пам’ятаймо, що предмети на ННО рухаються дуже швидко, у той час як «кинуте» тіло стартувало б із відмітки в нуль метрів за секунду. Звичайно, згодом воно прискорилося б та почало нагріватися, але не так сильно, як при керованому русі вже розігнаного космічного апарату.

Розгляньмо такий випадок: що, як використати кілька ракет, щоб зупинити МКС на її орбіті, а потім просто відпустити прямо вниз? Можливо, за такої спроби вдалося б уникнути проблеми повного згоряння при вході в атмосферу.

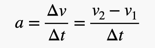
Розпочнемо з деяких простих розрахунків, а саме другого закону Ньютона. Він описує відношення між рівнодійною силою, що впливає на об’єкт, та його прискоренням. В одному вимірі дане рівняння виглядає так:

Фото: Rhett Allain

 де m – маса тіла, а – прискорення або зміна швидкості.

Маса МКС становить 444 615 кг, із округленням – 450 000 кг.

Припустимо, станція сповільнюється з постійною швидкістю, тоді прискорення буде:

Фото: Rhett Allain

 де v2 – кінцева швидкість (що дорівнює 0 м/с), а v1 – початкова швидкість (або орбітальна швидкість – 7,66 x 103 м/с).

А як щодо інтервалу часу – Δt? Наприклад, ми хочемо уповільнити МКС за один оберт на орбіті – у такому разі маємо на це 90 хвилин або 5400 секунд.

Із цими значеннями (швидкостей та часу) можемо обчислити прискорення – 7,66 x 103 / 5400 = 1, 4185 м/с2.

Повертаємося до початку. Зробивши підстановку чисел та помноживши прискорення на масу МКС (1, 4185 x 444 615), отримуємо середню силу тяги 6,31 х 105 ньютонів; саме ту, яку необхідно ракеті, щоб зупинити космічну станцію на її орбіті.

Для порівняння, це приблизно половина загальної тяги пасажирського літака Boeing 747. Тільки, звичайно, за таких умов ми не зможемо використати двигун цього літального апарата, тому що для його роботи потрібне повітря, якого на ННО недостатньо.

Тому стає зрозумілим, що нам необхідна ракета. Як щодо вакуумного двигуна Merlin 1D, подібного до того, якого компанія SpaceX використовує у другому ступені ракети Falcon Heavy?

Вакуумний двигун Merlin 1D. Фото: forum.nasaspaceflight.com

Двигуни цього типу створюють тягу, викидаючи масу із сопла. Щоб отримати додаткову потужність, достатньо підвищити використання палива або прискорити швидкість виходу матеріалу з двигунів. (Для прикладу, Merlin 1D може розвивати тягу до 981 000 ньютонів). І навпаки, зменшивши витрату робочого тіла, маємо меншу тягу, але довший час роботи космічного рушія.

Між іншим, одним із способів опису характеристик ракетного двигуна є питомий імпульс. Для його обчислення необхідно знайти звичайний імпульс та вагу об’єкта.

Щоб отримати імпульс, беремо середню силу тяги ракети та множимо на інтервал часу її роботи. Потім ділимо його на вагу ракети (маса на прискорення вільного падіння). Так ми отримуємо питомий імпульс. (Наприклад, Merlin 1D має питомий імпульс у 348 секунд). Математично це формулювання записується так:

Фото: Rhett Allain

де Isp – питомий імпульс, F – сила тяги, Δt – інтервал часу, m – маса, g – прискорення вільного падіння (9,8 Н/кг).

Далі нам потрібно обчислити загальну масу пального, необхідного, щоб зупинити МКС на її орбіті. Оскільки нам відомі сила тяги та інтервал часу, ми можемо це зробити. У підрахунку отримуємо масу трохи менше одного мільйона кілограмів. Якби паливо мало таку ж щільність, як вода, воно заповнило б приблизно половину басейну олімпійських розмірів. Так, це дуже великий об’єм!. Окрім того, не варто забувати, що спочатку треба відправити ракету в космос, а це вимагає ще більше ресурсів.

Що ж, стає зрозумілим, чому космічні кораблі не використовують ракети для сходження з орбіти. Для цього знадобилося б надзвичайно багато палива! Використання теплового щита та земної атмосфери для уповільнення не потребує зайвих витрат, і тому ніхто від такого не відмовляється.

Тож коли неможливо зупинити МКС до того, як вона пройде крізь повітряну оболонку, насправді немає жодної надії повернути її на Землю цілісною та неушкодженою.

Як підсумок, якщо нас не влаштовують ось ці два варіанти – покинути її на ННО та час від часу перезапускати або дозволити увійти в атмосферу і впасти в океан – залишається лише один спосіб. Можна вивести її на вищу орбіту, де практично немає опору повітря, і відпустити у «вільне плавання». Звичайно, потрібно буде більше енергії, щоб дістатися туди та забезпечити цей «останній поштовх», а відповідно знадобиться й потужніша ракета. Що й казати, ніхто ж не хотів би, щоб цей чудовий витвір перетворився на частину високоорбітального космічного сміття, що загрожуватиме іншим об’єктам? 

І щойно ми розберемося з комерційними космічними подорожами, ця «капсула часу» слугуватиме унікальним музейним експонатом, що самотньо кружлятиме у просторах космосу, десь далеко, за межами Землі.

Автор статті надає перевагу останній пропозиції.

Джерело

29 комментариев

Развернуть все

Пожалуйста, в свой профиль, чтобы комментировать сообщения, делать закладки и оценивать других пользователей. Для создания профиля или входа в систему требуется два клика.

Лип 10, 2022 18:48

как высосать из пальца 1500 слов?

Лип 10, 2022 22:00

Сосати ці слова, то я вам скажу, дуже навіть не просто.

Лип 10, 2022 19:56

Старшип вернет её на землю примерно за пару десятков запусков или того меньше. Статья ни о чём.

Лип 10, 2022 20:25

Цікава стаття, саме в пізнавальному сенсі. Особливо корисна для тих, кому цікава тема космосу, але в технічні тонкощі не доводилося влазити.
А щодо теми, так обидва варіанти – марнотратство. Ці 400 тон конструкцій ВЖЕ над гравітаційним колодязем. Можна їх переробити на нові конструкції, або ж просто на допоміжний склад

Лип 10, 2022 22:01

Дякую, було б цікаво підняти її апогей та перигей на масимум і залашити років на 40 для нащадків

Лип 10, 2022 22:19

На який максимум? Якщо на якийсь умовний максимум, то на мільйони років можливо.

Лип 11, 2022 15:06

заодно изучат изменения в материалах

Лип 11, 2022 15:38

На умовну висоту, яка дозволить залишається на орбіті багато років

Лип 10, 2022 22:20

А если на орбиту вокруг Луны? Там нет атмосферы, а значит и сопротивления движению… Много топлива? Да! Но и время до возможного падения на поверхность гораздо больше!

Лип 11, 2022 15:24

Околунные орбиты очень нестабильны из-за гравитационного воздействия Земли и Солнца. Без коррекции спутник существует на орбите не более нескольких лет.

Лип 11, 2022 15:29

радіація. ціна доставляння запасів

Лип 10, 2022 22:40

Пам’ятаю, як читав колись у новинах про станцію “Мир”, як її затоплювали. Там ще була згадка про суму в декілька мільйонів доларів компенсації тому, хто постраждає від її падіння. Думаю, якби хтось гарантував, що МКС точно впаде на один конкретний бункер, то Притула сміло міг починати з ір на фінансування цього дійства 🙂
Щодо самої статті. От вся ця орбітальна механіка, наче й зрозуміло написано, наче й розумієш що до чого, але в одну картину в голові не вкладається. Чи є якісь матеріали, де все доступно, чітко і зрозуміло пояснюється?

Лип 11, 2022 04:45

К сожалению, ни на Москву, ни на Киев, ни на Лондон, Берлин, Париж она никак не упадет. А вот на Вашингтон или Нью-Йорк – очень даже легко.

Лип 11, 2022 11:33

Дуже довго чекати. США планує використовувати станцію до кінця цього десятиліття.

Лип 11, 2022 13:40

бункеру нічого не буде.
та і падати будуть обломки по непередбачуваній траєкторії. основна частина згорить.
букер вразить тільки спеціальна бомба.
….
ну або кілька вантажівок з бетоном. і відрізати кумунікації

Лип 10, 2022 22:42

І щойно ми розберемося з комерційними космічними подорожами ця «капсула часу» слугуватиме унікальним музейним експонатом, що самотньо кружлятиме у просторах космосу, десь далеко, за межами Землі.
Є земмний аналог – дайвінг туризм біля затонулих кораблів.
Думаю охочі до таких пригод будуть завжди.))

Треба відкривати щось на орбіті, ну типу накоплювач космічного брухту.., вибрати оптимальну орбіту..
Ой.., там “ціле поле не оране можливостей” .., але сьогодні це
“Біле поле чорне зерно”

🙂

Лип 10, 2022 22:45

Контент видалено за запитом автора

Лип 10, 2022 23:34

4 і 5 лагранжі Місяць-Земля

Лип 11, 2022 19:27

Контент видалено за запитом автора

Лип 11, 2022 01:52

Что нужно сделать, чтобы вернуть МКС на Землю целым и невредимым?
А почему не собрать МКС в такой металлический “скраб”, типа депо материалов на орбите? Ведь неимоверное количество денег портачено чтобы поднять эти матералы в космос. Собрать это всё в плотный объём и поднять на постоянную орбиту. Оставить там на будущее использование материалов. Пусть не сейчас, но через 20 лет точно понадобятся эти материалы и будут способы их переработать прямо на орбите. Кстати, к нему же постепенно можно было бы притягивать и все ненужные объекты, которые сейчас засоряют орбиты.

Лип 11, 2022 11:16

Чому не можна доставити на Starship теплові щити? Або після доставлення на орбіту за допомогою Starship корисного вантажу використовувати його вже пустий вантажний відсік щоб по одному повертати модулі МКС?

Лип 11, 2022 13:08

А сколько нужно топлива поднять МКС на высокую орбиту, исключающую падение ближайшие 100-200-300 лет?
Думается это значительно дешевле и безусловно лучше для сохранения МКС, как реликвии.

Лип 11, 2022 13:36

ну там же радіаційні пояси. і все таке.
а 400 км досить безпечно. під прикриттям магнітного поля. і добратись відносно неважко

Лип 12, 2022 15:13

А если скинуть на Луну в качестве вспомогательных материалов для будущей базы?