Всем привет! Сегодня я хотел бы немного затронуть тему, неверное толкование которой встречается в большинстве научно-популярных изданий и даже научной литературе прошлых лет (например: Ю.Б. Румер, М.С. Рывкин “Теория относительности” стр.75). Речь пойдет о массе и порой вольной ее трактовке. А конкретнее о том, что масса якобы возрастает с ростом скорости частицы. Это убеждение основано на неправильной интерпретации связи между энергией и массой. Раньше считалось (абсолютно безосновательно), что с увеличением скорости растет энергия, а значит растет и масса. Это утверждение встречается не только во многих популярных книжках, но и в школьных и даже в вузовских учебниках физики.
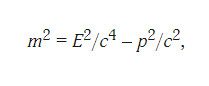
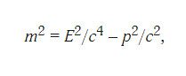
В действительности же масса – инвариант, что означает ее неизменность при переходе между различными системами отсчета. От скорости зависит энергия частицы и ее импульс, а функция зависимости представлена на рисунке 1.

Отсюда так же хорошо видно, что общеизвестная формула Е=m*c^2 не совсем верна. Правильная ее запись выглядит как E0=m*c^2 и я уверен, что многие из вас уже поняли, почему верна именно она. Заинтересовавшихся в данном вопросе читателей приглашаю прочитать известную работу Л.Б. Окуня “Масса. Энергия. Относительность”.
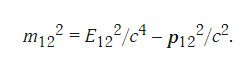
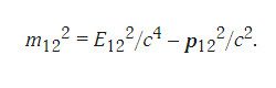
Если же использовать формулу на рисунке 1 к задаче столкновения двух частиц, то в результате с учетом законов сохранения мы получим достаточно интересную величину (смотри рисунок 2), которая называется инвариантной массой. Из векторного закона сложения импульсов частиц становится понятно, что эта величина характеризует энергию столкновения и совсем не обязательно равна сумме масс сталкивающихся частиц (может быть и больше них). Используется эта величина в основном при анализе энергетических спектров частиц на ускорителях.
