Какие силы действуют на ракету во время полета?

MIXAIL

Статті

В этой статье мы попробуем разобрать силы, действующие на ракету во время полета, формулы и расчеты.

3682

В этой статье мы попробуем разобрать силы, действующие на ракету во время полета, формулы и расчеты.

Силы действующие во время полета

ЧАСТЬ I – сопротивление атмосферы

При полете ракеты в космос она испытывает все прелести физики и аэродинамики, начиная от гравитации, заканчивая воздействием аэродинамических сил. Её ждет довольно тяжелый путь, преодолевая все сложности на пути к космосу. Опасная часть полета – это полет в плотных слоях атмосферы, происходит сильное сопротивление на больших скоростях.
Для начала рассмотрим, как рассчитывается MAX-Q (максимальное динамическое давление).

Falcon 9
Credit: novosti-kosmonavtiki

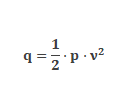
формула MAX-Q

q- аэродинамическая нагрузка на конструкцию

p- плотность воздуха (после выхода из атмосферы=0)

v- скорость ракеты в определенный момент времени

Проведем расчеты (данные взяты с полета Falcon Heavy, высота 10км)

Скорость FH на высоте 10км = 1120 км/ч = 311 м/с  (V)

Плотность воздуха на 10км = 0.414 кг/м³ (p)

Нагрузка на конструкцию во время полета

Тяговооруженность (TWR) играет важную роль в преодолении земной гравитации. Найти тяговооруженность любой ракеты легче простого. Для начала следует узнать какую тягу дает первая ступень ракеты (если есть бустеры, то их тоже стоит учитывать), после того как мы узнали тягу, нам следует узнать стартовую массу ракеты (НЕ СУХУЮ!).

TWR

1.11 – означает, что тяга ракеты при старте на 11% больше её веса.

В основном старт ракеты происходит вертикально, чтобы уменьшить аэродинамические потери. При покидании плотных слоев атмосферы, ракета начинает поворачивать на восток.

ЧАСТЬ II – борьба с гравитацией

После включения двигателей ракета преодолевает гравитацию Земли. Гравитационные потери и аэродинамические обычно не превышают 15-20% реально приобретаемой скорости. Чтобы уменьшить гравитационные потери во время полета, нужно увеличить скорость ракеты.

V > гравитационные потери

a=g=0 m/s

Credit: wallbox

Теперь про гравитационные потери при подъеме. Я уже упоминал, что чем больше скорость, тем меньше будут гравитационные потери. Перейдем ко 2-ой формуле Циолковского. Возьмем характеристики Сатурн 5.

В следующей статье я разберу формулу минимальной характеристической скорости и сколько топлива нужно захватить на определенную орбиту. 

12 коментарів

Розгорнути всі

Будь ласка, у свій профіль, щоб коментувати пости, робити закладки та оцінювати інших користувачів. Це займає всього два кліки.

Лис 13, 2020 17:57

3000 / 276 = 1,11 шта?

Лис 13, 2020 18:15

Тяга первой ступени 3450 тонн / стартовая масса 2970 ~ 1.17

Лис 13, 2020 22:21

Просто MIXAIL забил на правила записи математических операций. Кроме того не указал единицы измерения. Если записать так: 3000 кН / 276 т = 10,86 м/с2; 10,86 м/с2 / 9,8 м/с2 = 1,11 – TWR (безразмерная величина), всё становится понятно

Лис 14, 2020 07:11

Совершенно верно

Лис 14, 2020 07:14

3000/276=10,8
10,8/9,8=1,11

Лис 13, 2020 18:06

Простите, а почему подкаст?

Лис 13, 2020 18:17

Определенно, это не подкаст. Я поменял на “Статьи”

Лис 13, 2020 18:09

g и a – ускорение свободного падения и ускорение ракеты: размерность м/с^2. На рисунке почему-то м/с.
w – скорость истечения м/с. mo – стартовая масса mk – масса корабля Аполлон и третьей ступени носителя с остатком топлива. Может стоит добавить легенды ?


Лис 13, 2020 22:44

Картинки в комменты нельзя вставить 🙁

Лис 13, 2020 23:56

Нельзя, да… Можно залить картинку на другой хостинг и дать сюда ссылку.

Лис 14, 2020 08:22

А ещё можно начать писать статью, но оставить её в черновиках, и в неё кидать картинки, а потом копировать в комментарии ссылки.