В этой статье мы попробуем разобрать силы, действующие на ракету во время полета, формулы и расчеты.

ЧАСТЬ I – сопротивление атмосферы
При полете ракеты в космос она испытывает все прелести физики и аэродинамики, начиная от гравитации, заканчивая воздействием аэродинамических сил. Её ждет довольно тяжелый путь, преодолевая все сложности на пути к космосу. Опасная часть полета – это полет в плотных слоях атмосферы, происходит сильное сопротивление на больших скоростях.
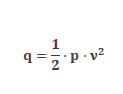
Для начала рассмотрим, как рассчитывается MAX-Q (максимальное динамическое давление).

Credit: novosti-kosmonavtiki

q- аэродинамическая нагрузка на конструкцию
p- плотность воздуха (после выхода из атмосферы=0)
v- скорость ракеты в определенный момент времени
Проведем расчеты (данные взяты с полета Falcon Heavy, высота 10км)
Скорость FH на высоте 10км = 1120 км/ч = 311 м/с (V)
Плотность воздуха на 10км = 0.414 кг/м³ (p)

Тяговооруженность (TWR) играет важную роль в преодолении земной гравитации. Найти тяговооруженность любой ракеты легче простого. Для начала следует узнать какую тягу дает первая ступень ракеты (если есть бустеры, то их тоже стоит учитывать), после того как мы узнали тягу, нам следует узнать стартовую массу ракеты (НЕ СУХУЮ!).

1.11 – означает, что тяга ракеты при старте на 11% больше её веса.
В основном старт ракеты происходит вертикально, чтобы уменьшить аэродинамические потери. При покидании плотных слоев атмосферы, ракета начинает поворачивать на восток.
ЧАСТЬ II – борьба с гравитацией
После включения двигателей ракета преодолевает гравитацию Земли. Гравитационные потери и аэродинамические обычно не превышают 15-20% реально приобретаемой скорости. Чтобы уменьшить гравитационные потери во время полета, нужно увеличить скорость ракеты.
V > гравитационные потери
a=g=0 m/s

Теперь про гравитационные потери при подъеме. Я уже упоминал, что чем больше скорость, тем меньше будут гравитационные потери. Перейдем ко 2-ой формуле Циолковского. Возьмем характеристики Сатурн 5.

В следующей статье я разберу формулу минимальной характеристической скорости и сколько топлива нужно захватить на определенную орбиту.