Кожен із нас хоча б раз у житті чув про Міжнародну космічну станцію (МКС). Інженерне диво минулого століття ширяє на низькій навколоземній орбіті на висоті близько 400 кілометрів над поверхнею Землі вже понад 20 років, рухаючись зі швидкістю 7,66 км/c. (До слова, із величезною швидкістю).
За таких умов лабораторія завершує один повний оберт за 90 хвилин. Роблячи 16 витків на добу протягом двох десятиліть, станція уже здійснила близько 100 000 польотів навколо планети. Якщо у правильному місці уважно стежити за зоряним небом, можна побачити неозброєним оком або за допомогою смартфона рух цього «непізнаного літального об’єкта».
Проте ніщо в цьому світі не вічне – навіть космічні станції. NASA повідомляє, що МКС буде зведено з орбіти у 2031 році, що означає її навмисне знищать в океані.
Здавалося б, нерозсудливо позбутися напрочуд дивовижної конструкції у такий спосіб. Хіба не чудова ідея перетворити її у музей на Землі, щоб звичайні люди могли б прогулюватися стінами того, що провело так багато часу за межами планети? Тоді кожен зміг би відчути себе астронавтом!
Проте не все так легко, як видається на перший погляд. Спробуємо розібратися, що потрібно для порятунку одного з найамбітніших проектів в історії людства.
Хіба не можна просто залишити МКС на орбіті?
Може здатися, що найкращою «домівкою» Міжнародної космічної станції є космос. Однак виникає проблема: вона не зможе залишатися там довго без періодичного коригування її положення та зрештою впаде назад на Землю. Навмисне зведення з орбіти – один із варіантів переконатися, що МКС звалиться в неосяжний океан, а не вам на голову.

Саме тому низька навколоземна орбіта (ННО) – лише її тимчасове місце перебування. На ідеальній траєкторії, такій як у Місяця навколо нашої планети, об’єкт здійснює рух тільки завдяки гравітаційній взаємодії із Землею. У такий спосіб, на нього діє сила, із якою він притягується до центру, переміщаючись у перпендикулярному їй напрямку. Якщо тіло підтримує задану швидкість, воно рухатиметься по колу. Це схоже на обертання м’ячика, прикріпленого до кінця мотузки, навколо голови. Однак у цьому випадку мотузка замінює вектор сили тяжіння.
Проте для таких об’єктів, як супутник чи космічна станція, що знаходяться на ННО, існує інша закономірність – взаємодія з атмосферою. Напевно, ви чули, що у космічному просторі немає повітря. Це дійсно так: космос – це майже ідеальний вакуум. У міру віддалення від поверхні Землі газова оболонка стає тоншою, отже, її щільність зменшується. А втім, вона не просто, «ніби за помахом чарівної палички», сягає нуля на певній висоті; натомість із підняттям угору поступово розріджується (стає менш густою), доки умовна межа, що відділяє нас від космосу, не зникає.
Це означає, що на висоті 400 км (на ННО, де обертається МКС) повітря зовсім небагато, але воно є. Космічна станція, яка рухається дуже стрімко, стикається з цією невеликою кількістю, у результаті чого виникає незначна сила опору. Саме вона діє в напрямку, протилежному швидкості апарату, у такий спосіб уповільнюючи його та просуваючи на нижчі висоти, де з’являється все більше повітря та аеродинамічного опору.
Справи стають досить складними, коли в хід вступає орбітальна механіка. Коротко кажучи, притягання, спрямоване до центру планети, призведе до того, що об’єкт частково згорить в атмосфері та вріжеться в Землю. Саме це сталося з китайською космічною станцією Тяньгун-1 (Tiangong-1).
Отже, для утримання МКС на орбіті до 2031 року, космічні агентства, які її обслуговують, повинні періодично щось робити, щоб протидіяти цій силі опору. Станція не має власних ракетних двигунів, тому для підтримання та коригування швидкості їй потрібен розгін або поштовх, здійснений транспортним кораблем, що поповнює її запаси. Тільки так вона залишатиметься на орбіті.
Чи згорить МКС під час входження в атмосферу?
Хоча повернення на Землю може бути «неприємною подією» і має повністю знищити апарат, цілком можливо, що тіло розміром із МКС принаймні частково вціліє. Для прикладу, космічна станція Skylab, пройшовши крізь атмосферу в 1979 році, вдарилась об поверхню планети незгорілими уламками. І цьому є своє пояснення.
Усе, що падає з космосу, стає надзвичайно гарячим. Орбітальні об’єкти, дуже швидко рухаючись, штовхають перед собою повітря, що заважає їм на шляху. Невелика частина повітря розсіюється убік, але значна – залишається попереду. Тут знову виникає проблема, тому що збільшення його кількості в тому ж просторі, де вже є певна частка, спричиняє компресію. У такий спосіб, при стрімкому русі об’єкта крізь атмосферу стиснене повітря перед ним стає гарячим, що призводить до підвищення тиску та зростання температури.
Наочним прикладом може слугувати накачування шини велосипедного колеса. За інтенсивного виконання цього процесу вона нагрівається, тому що, наповнюючи ємність новим повітрям, ми стискаємо його з тим, що вже є всередині. Мовляв, «підігріваємо гаряче».
Деякі космічні кораблі, як-от Space Shuttle або Crew Dragon компанії SpaceX, мають теплові щити, що складаються з матеріалів, які ізолюють більшу частину апарату та захищають його під час температурних перепадів. Проте МКС не має такої системи термального захисту. Тому можна припустити, що деякі її частини все-таки згорять при входженні в атмосферу.
До речі, уламки, що залишаться, зможуть стати частиною музейної експозиції, але, на жаль, не тієї, якою ви походжали б.

Чи існує спосіб повернути МКС без згоряння при вході в атмосферу?
Почнемо з того, що існує різниця між входженням в атмосферу та просто падінням із космосу. Якщо об’єкт підняти на висоту 400 кілометрів та відпустити, результат суттєво відрізнятиметься від того, який отримаємо під час його контрольованого повернення на Землю.
Пам’ятаймо, що предмети на ННО рухаються дуже швидко, у той час як «кинуте» тіло стартувало б із відмітки в нуль метрів за секунду. Звичайно, згодом воно прискорилося б та почало нагріватися, але не так сильно, як при керованому русі вже розігнаного космічного апарату.
Розгляньмо такий випадок: що, як використати кілька ракет, щоб зупинити МКС на її орбіті, а потім просто відпустити прямо вниз? Можливо, за такої спроби вдалося б уникнути проблеми повного згоряння при вході в атмосферу.
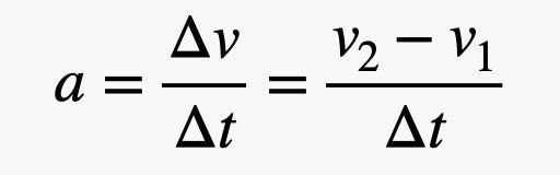
Розпочнемо з деяких простих розрахунків, а саме другого закону Ньютона. Він описує відношення між рівнодійною силою, що впливає на об’єкт, та його прискоренням. В одному вимірі дане рівняння виглядає так:

де m – маса тіла, а – прискорення або зміна швидкості.
Маса МКС становить 444 615 кг, із округленням – 450 000 кг.
Припустимо, станція сповільнюється з постійною швидкістю, тоді прискорення буде:

де v2 – кінцева швидкість (що дорівнює 0 м/с), а v1 – початкова швидкість (або орбітальна швидкість – 7,66 x 103 м/с).
А як щодо інтервалу часу – Δt? Наприклад, ми хочемо уповільнити МКС за один оберт на орбіті – у такому разі маємо на це 90 хвилин або 5400 секунд.
Із цими значеннями (швидкостей та часу) можемо обчислити прискорення – 7,66 x 103 / 5400 = 1, 4185 м/с2.
Повертаємося до початку. Зробивши підстановку чисел та помноживши прискорення на масу МКС (1, 4185 x 444 615), отримуємо середню силу тяги 6,31 х 105 ньютонів; саме ту, яку необхідно ракеті, щоб зупинити космічну станцію на її орбіті.
Для порівняння, це приблизно половина загальної тяги пасажирського літака Boeing 747. Тільки, звичайно, за таких умов ми не зможемо використати двигун цього літального апарата, тому що для його роботи потрібне повітря, якого на ННО недостатньо.
Тому стає зрозумілим, що нам необхідна ракета. Як щодо вакуумного двигуна Merlin 1D, подібного до того, якого компанія SpaceX використовує у другому ступені ракети Falcon Heavy?

Двигуни цього типу створюють тягу, викидаючи масу із сопла. Щоб отримати додаткову потужність, достатньо підвищити використання палива або прискорити швидкість виходу матеріалу з двигунів. (Для прикладу, Merlin 1D може розвивати тягу до 981 000 ньютонів). І навпаки, зменшивши витрату робочого тіла, маємо меншу тягу, але довший час роботи космічного рушія.
Між іншим, одним із способів опису характеристик ракетного двигуна є питомий імпульс. Для його обчислення необхідно знайти звичайний імпульс та вагу об’єкта.
Щоб отримати імпульс, беремо середню силу тяги ракети та множимо на інтервал часу її роботи. Потім ділимо його на вагу ракети (маса на прискорення вільного падіння). Так ми отримуємо питомий імпульс. (Наприклад, Merlin 1D має питомий імпульс у 348 секунд). Математично це формулювання записується так:

де Isp – питомий імпульс, F – сила тяги, Δt – інтервал часу, m – маса, g – прискорення вільного падіння (9,8 Н/кг).
Далі нам потрібно обчислити загальну масу пального, необхідного, щоб зупинити МКС на її орбіті. Оскільки нам відомі сила тяги та інтервал часу, ми можемо це зробити. У підрахунку отримуємо масу трохи менше одного мільйона кілограмів. Якби паливо мало таку ж щільність, як вода, воно заповнило б приблизно половину басейну олімпійських розмірів. Так, це дуже великий об’єм!. Окрім того, не варто забувати, що спочатку треба відправити ракету в космос, а це вимагає ще більше ресурсів.
Що ж, стає зрозумілим, чому космічні кораблі не використовують ракети для сходження з орбіти. Для цього знадобилося б надзвичайно багато палива! Використання теплового щита та земної атмосфери для уповільнення не потребує зайвих витрат, і тому ніхто від такого не відмовляється.
Тож коли неможливо зупинити МКС до того, як вона пройде крізь повітряну оболонку, насправді немає жодної надії повернути її на Землю цілісною та неушкодженою.
Як підсумок, якщо нас не влаштовують ось ці два варіанти – покинути її на ННО та час від часу перезапускати або дозволити увійти в атмосферу і впасти в океан – залишається лише один спосіб. Можна вивести її на вищу орбіту, де практично немає опору повітря, і відпустити у «вільне плавання». Звичайно, потрібно буде більше енергії, щоб дістатися туди та забезпечити цей «останній поштовх», а відповідно знадобиться й потужніша ракета. Що й казати, ніхто ж не хотів би, щоб цей чудовий витвір перетворився на частину високоорбітального космічного сміття, що загрожуватиме іншим об’єктам?
І щойно ми розберемося з комерційними космічними подорожами, ця «капсула часу» слугуватиме унікальним музейним експонатом, що самотньо кружлятиме у просторах космосу, десь далеко, за межами Землі.
Автор статті надає перевагу останній пропозиції.